logotipo matesfacil

Sacar o Extraer Factor Común

Contenido de esta página:

  1. Introducción y Ejemplos
  2. 6 Problemas Resueltos

En esta página explicamos cómo sacar o extraer factor común. Advertimos que algunos de los apartados de los problemas son fáciles y otros son bastante más difíciles.

1. Introducción

Extraer factor común de una suma (o resta) consiste en escribirla como un producto. Por ejemplo,

Ejemplo 1

En la suma \(3\cdot y+3\cdot x\) tenemos el factor común 3. Podemos extraerlo:

Explicación de cómo extraer factor común y problemas resueltos. Propiedad distributiva del producto sobre la suma. Secundaria, ESO y Bachillerato.


Observad que lo que hacemos es aplicar la propiedad distributiva del producto sobre la suma.

No olvidéis nunca los paréntesis porque el factor común debe multiplicar a todos los sumandos.

Extraer factor común nos permite simplificar las expresiones aritméticas, por lo que es algo que debemos hacer con habilidad.

Algunas veces, extraemos factor común, aunque el factor que extraemos no esté escrito explícitamente en todos los sumandos.

Ejemplo 2

En la suma \(3\cdot y+6\cdot x\) podemos extraer el factor común 3:

Explicación de cómo extraer factor común y problemas resueltos. Propiedad distributiva del producto sobre la suma. Secundaria, ESO y Bachillerato.

Nota: tuvimos que escribir 6 como 3·2 para tener explícitamente el factor común.


De forma parecida, hacemos con los polinomios.

Ejemplo 3

Extraemos el factor común \(x^2\) del polinomio \(3x^2-5x^3\):

Explicación de cómo extraer factor común y problemas resueltos. Propiedad distributiva del producto sobre la suma. Secundaria, ESO y Bachillerato.


También, podemos extraer como factor común a parámetros, fracciones, potencias, raíces, polinomios, etc. Veremos algunos ejemplos en los problemas.

X

2. Problemas Resueltos

Problema 1

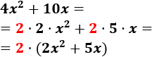
Extraer el factor común 2 de las siguientes sumas:

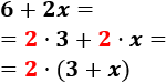
  • \( 6 + 2x\)

  • \( 4x^2 + 10x\)

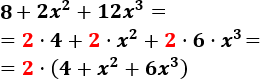
  • \( 8+2x^2+12x^3\)

  • \(1 +2x\)

Ver solución

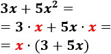
Problema 2

Extraer el factor común \(x\) de los siguientes polinomios:

  • \( 3x+5x^2\)

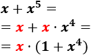
  • \( x+x^5\)

  • \( \frac{x}{5} + \frac{x^3}{2}\)

Ver solución

Problema 3

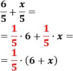
Extraer el factor común \(1/5\) de las siguientes sumas de fracciones:

  • \( \frac{6}{5} + \frac{x}{5} \)

  • \( \frac{2}{15}x^2 + \frac{3}{10}x\)

  • \( \frac{x}{5} + \frac{2}{25}x^2 + \frac{2}{15}x^3\)

  • \( 3 + \frac{2}{5}x\)

Ver solución


Problema 4

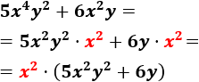
Extraer el factor común \(x^2\) de las siguientes expresiones algebraicas:

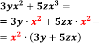
  • \( 3yx^2+5zx^3\)

  • \( 5x^4 y^2+6x^2 y\)

  • \(y^2 x^2 - \frac{2}{3}x^3\)

Ver solución

Problema 5

Extraer el factor común \(2^3\) de las siguientes sumas:

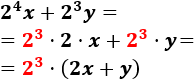
  • \( 2^4 x+2^3 y\)

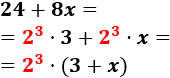
  • \( 24+8x \)

  • \( 16yx+32\)

  • \( 2^{3+x} + 3·2^4 \)

Ver solución

Problema 6

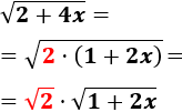
Extraer factor común de las siguientes raíces de sumas:

  • Extraer el factor común 2 de la raíz:

    \( \sqrt{2+4x} \)

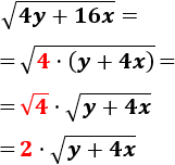
  • Extraer el factor común 4 de la raíz:

    \( \sqrt{4y+16x} \)

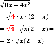
  • Extraer el factor común 4 de la raíz:

    \( \sqrt{8x-4x^2} \)

  • Extraer el factor común \(x^2\) de la raíz:

    \( \sqrt{4x^2+x^2 y} \)

Ver solución




acceso al foro

ejercicios interactivos de matemáticas