Áreas de Superficies Regulares |
Contenido de esta página:
Introducción
Recordemos que... (superficie parametrizada, superficie regular...)
3 Ejemplos de cálculo de áreas: toro, esfera y superficie de revolución
En esta sección calculamos áreas de superficies 3-dimensionales con métodos de geometría diferencial. Buscaremos una parametrización (o varias) regular que recubra la superficie y obtendremos el área mediante integrales dobles.
Una superficie parametrizada es una aplicación diferenciable de un abierto del plano, A, en el espacio. Llamamos traza de la superficie a su imagen. Además, la superficie parametrizada es regular si para cualquier punto del abierto A su diferencial en dicho punto es inyectiva.
Un subconjunto S del espacio es una superficie regular si para cada punto de S existe una superficie parametrizada regular e inyectiva de modo que su traza es un entorno del punto en S.
Superficie 1
Calcular el área del toro


Superficie 2
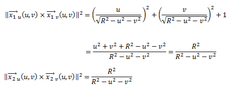
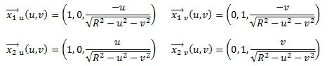
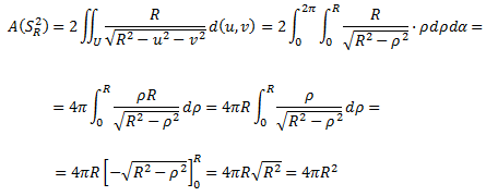
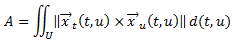
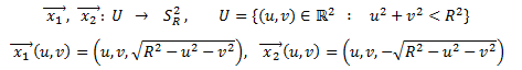
Calcular el área de la esfera


Superficie 3
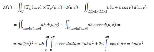
Calcular el área de la superficie de revolución generada por la curva α


Matesfacil.com
by J. Llopis is licensed under a
Creative
Commons Attribution-NonCommercial 4.0 International License.