En esta página definimos octaedro y demostramos las fórmulas de la altura, el área y el volumen de un octaedro regular. También, proporcionamos una calculadora online y algunos problemas resueltos de aplicación.
Contenido de esta página:
Más calculadoras en calculadoras.
Otras páginas:

Sólo se admiten números enteros y decimales (utilizando el punto decimal "."). Los resultados se aproximan con \(n\) decimales.
Lado: \(L = \)
Decimales: \(n = \)
Un octaedro es un poliedro de \(8\) caras, \(6\) vértices y \(12\) aristas.
Representación de un octaedro no regular (sólido de Johnson J3), formado por \(4\) triángulos equiláteros, \(3\) cuadrados y \(1\) hexágono de igual lado:
Si todas las caras son triángulos equiláteros iguales, el octaedro es regular.

Un octaedro puede verse como una bipirámide cuadrangular (o cuadrilátera), es decir, como la unión de dos pirámides cuadrangulares por sus bases.

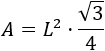
Las \(8\) caras del octaedro regular de arista \(L\) son triángulos equiláteros de lado \(L\).
El área de un triángulo equilátero de lado \(L\) es

Por tanto, el área del octaedro regular de arista \(L\) es


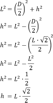
Consideramos el octaedro regular como una bipirámide cuadrangular.
Vamos a calcular altura (\(h\)) de una pirámide cuadrangular con caras regulares:

La altura de la pirámide une la cúspide de la pirámide con el centro de su base, que es un cuadrado.
Observad que la mitad de la diagonal de la base (\(D/2\)), la altura de la pirámide (\(h\)) y una arista lateral de la pirámide (\(L\)) forman un triángulo rectángulo:

Por el teorema de Pitágoras,

La diagonal de un cuadrado de lado \(L\) es

Por tanto, tenemos

Por tanto, la altura del octaedro regular (vista como la distancia entre las cúspides de las pirámides) es

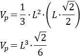
El volumen de una pirámide es un tercio del producto del área de la base por la altura de la pirámide.
El volumen de una pirámide cuadrada de arista \(L\) es

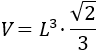
Por tanto, el volumen de un octaedro regular de arista \(L\) es

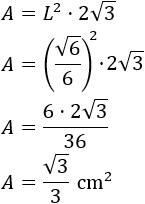
Calcular la altura y el área del octaedro regular de arista \( L = \sqrt{6}/6\text{ cm}\).
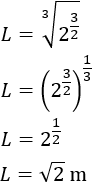
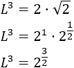
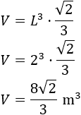
Calcular el volumen de un octaedro regular de área \( A = 8\sqrt{3}\text{ m}^2\).
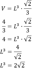
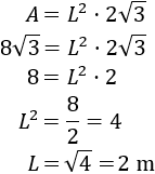
Calcular cuánto mide la arista de un octaedro regular cuyo volumen es \( V = 4/3\text{ m}^3\).
Calcular área y volumen del octaedro regular - © matesfacil.com
Matesfacil.com
by J. Llopis is licensed under a
Creative
Commons Attribution-NonCommercial 4.0 International License.