En esta página definimos tetraedro y demostramos las fórmulas de la altura, el área y el volumen de un tetraedro regular. También, proporcionamos una calculadora online y algunos problemas resueltos de aplicación.
Contenido de esta página:
Más calculadoras en calculadoras.
Otras páginas:

Sólo se admiten números enteros y decimales (utilizando el punto decimal "."). Los resultados se aproximan con \(n\) decimales.
Lado: \(L = \)
Decimales: \(n = \)
Un tetraedro o pirámide triangular es un poliedro de \(4\) caras triangulares.
Si las caras son triángulos equiláteros iguales, el tetraedro es regular.

El tetraedro regular está formado por \(4\) triángulos equiláteros de igual lado.
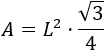
El área de un triángulo equilátero de lado \(L\) es

Por tanto, el área de un tetraedro regular de arista \(L\) es

La altura (\(h\)) del tetraedro regular es el segmento que une el vértice y el centro de la base del tetraedro:

Recordad que la apotema de un polígono regular es la distancia del centro del polígono a sus lados.
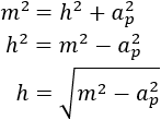
Observad que la altura de las caras laterales del tetraedro regular (\(m\)), la apotema de la base (\(a_p\)) y la altura del tetraedro (\(h\)) forman un triángulo rectángulo:

Podemos calcular la altura del tetraedro aplicando el teorema de Pitágoras:

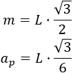
Conocemos la altura (\(m\)) y apotema (\(a_p\)) de un triángulo equilátero de lado \(L\) (calculada en triángulo equilátero):

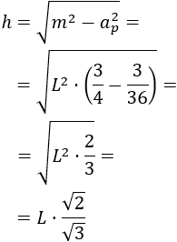
Sustituimos en la fórmula anterior:

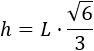
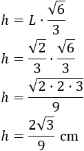
Por tanto, racionalizando, la altura del tetraedro regular de arista \(L\) es

El volumen de una pirámide es un tercio del producto del área de la base por la altura de la misma:

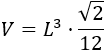
Operando, el volumen de un tetraedro regular de arista \(L\) es

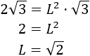
Calcular la altura del tetraedro regular cuya área es \(A = 2\sqrt{3}\text{ m}^2\).
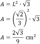
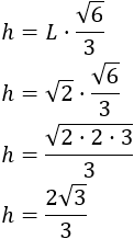
Calcular el área y la altura del tetraedro regular de lado \( L = \sqrt{2}/3\text{ cm}\).
Calcular área y volumen del tetraedro regular - © matesfacil.com
Matesfacil.com
by J. Llopis is licensed under a
Creative
Commons Attribution-NonCommercial 4.0 International License.