En el colegio nos enseñan a resolver ecuaciones, pero a veces no entendemos realmente ni qué es una ecuación ni para qué sirve. En esta página intentamos resolver estas dudas recordando algunos conceptos y mostrando ejemplos.
Contenido de esta página:
Otras páginas:
Matemáticamente, una ecuación es una igualdad entre dos expresiones algebraicas en las que hay al menos una incógnita (normalmente, \(x\)), cuyo valor se desconoce y se desea hallar.
También, podemos ver una ecuación como las descripción de una característica de un número desconocido (\(x\)) que se desea encontrar.
Ejemplo: ¿qué número da como resultado 5 tras sumarle 3? Esta pregunta podemos escribirla matemáticamente como una ecuación:

En este caso, es fácil deducir que dicho número es 2, puesto que 2+3 = 5. En efecto, la solución de la ecuación anterior es \(x = 2\).
Obviamente, no siempre se puede resolver una ecuación de cabeza, por lo que necesitamos aprender a resolver ecuaciones.
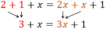
La incógnita de la ecuación es una letra (normalmente, \(x\)), que representa a un número DESCONOCIDO que se desea hallar y que VERIFICA la ecuación.
Consideremos la ecuación del ejemplo anterior (¿qué número da como resultado 5 si se le suma 3?):

Si pensamos que el número que buscamos es, por ejemplo, 1, podemos cambiar la \(x\) de la ecuación por 1:

En este caso se obtiene una igualdad FALSA porque 1 no es la solución de la ecuación y, por tanto, no VERIFICA la ecuación.
Veamos que 2 sí verifica la ecuación anterior:

No podemos pasar al siguiente apartado sin decir que una ecuación puede tener varias incógnitas y que puede tener varias soluciones o ninguna, pero no vamos a entrar en estas situaciones.
Básicamente, para resolver una ecuación debemos aplicar las siguientes REGLAS:



No explicamos en esta página el porqué de estas reglas. Más información en cambiar de lado en la igualdad.
Las ecuaciones son una herramienta que podemos usar para resolver problemas de la vida real. A continuación, mostramos algunos ejemplos.
Antonio tenía una bolsa de caramelos, pero después de comer 13 caramelos, sólo le quedan 20. ¿Cuántos caramelos tenía inicialmente?
Llamamos \(x\) al número inicial de caramelos, el cual desconocemos.
Como Antonio se comió 13 caramelos, el número de caramelos que tiene ahora es \(x-13\), que sabemos que es 20. Por tanto,

Resolvemos la ecuación:

Antonio tenía inicialmente 33 caramelos.
Jaime tiene un listón de madera de 21 centímetros de longitud y desea cortarlo en dos trozos de modo que uno de los trozos sea el doble que el otro. ¿Cuánto debe medir cada trozo?
Llamamos \(x\) a la longitud del trozo corto del listón.
La longitud del otro trozo tiene que ser el doble, es decir, \(2\cdot x\).
Lógicamente, la suma de las longitudes de los trozos mide lo mismo que el listón inicial, es decir, 21 centímetros. Es decir,

Ya tenemos la ecuación del problema y ahora procedemos a resolverla:

Por tanto, el trozo corto debe medir 7 centímetros y el largo debe medir el doble, es decir, 14 centímetros.
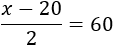
David tenía dinero ahorrado en su hucha, pero tuvo que coger 20 euros para comprarse una mochila de deporte. Después de esto, la hermana de David le tomó prestado la mitad del dinero que le quedaba en la hucha, así que ahora sólo tiene 60 euros. ¿Cuánto dinero tenía David inicialmente?
Llamamos \(x\) a la cantidad de dinero que tenía David.
Como gastó 20 euros, entonces en la hucha le quedaban \(x-20\) euros.
Como su hermana cogió la mitad, a David le queda la otra mitad, es decir, le queda

Y sabemos que dicha cantidad es 60 euros:

Resolvemos la ecuación:

Por tanto, David tenía inicialmente 140 euros en su hucha.
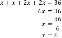
Santiago tiene 3 años más que su prima Daniela y la suma de sus edades es 25. ¿Qué edad tiene Daniela?
María tiene 28 chicles en su bolsillo. Si el número de chicles de menta es el triple que el de fresa, ¿cuántos chicles de fresa tiene María?
Para fabricar el marco de una fotografía se necesitan 36 centímetros de moldura. Si el ancho de la fotografía es el doble que su altura, ¿cuáles son las dimensiones de dicha fotografía?
Yolanda se pregunta si casualmente existen tres números consecutivos cuya suma sea 36. ¿Cuál es la respuesta?
María tiene 6 años más que su hermano Roberto y dentro de 5 años la edad de María será el doble que la de Roberto. ¿Qué edades tienen los hermanos?
Más problemas resueltos de edades.
¿Qué es una ecuación? - © matesfacil.com
Matesfacil.com
by J. Llopis is licensed under a
Creative
Commons Attribution-NonCommercial 4.0 International License.