En esta página resolvemos la pregunta ¿existe la raíz cuadrada de un número negativo? La respuesta es que sí a pesar de que, en teoría, el cuadrado de un número no puede ser negativo. Para poder comprender la existencia de las raíces de negativos, recordaremos algunos conceptos y propiedades de las potencias y raíces, llegando finalmente a la definición de los números imaginarios. También, resolvemos algunos problemas.
Contenido de esta página:
Otras páginas:
El cuadrado de un número \(a\) es
		
El número \(a^2\) se dice que es una potencia de base \(a\) y exponente 2.
Por ejemplo, calculamos el cuadrado de 2 y de 3:
		
Si la base es un número negativo, debemos escribir la potencia con paréntesis:
		
Nota: recordad que el producto de dos números negativos es positivo (regla de los signos).
Si no escribimos el paréntesis, el signo queda fuera de la potencia:
		
Hemos aprendido que, en teoría,
Y esto es lo mismo que decir
Sin embargo, esto no tiene por qué ser así, como veremos a continuación.
Nota: no es correcto decir que el cuadrado de un número siempre es positivo puesto que el cuadrado de 0 es 0 y no es positivo.
La raíz cuadrada del número \(b\) se denota por \(\sqrt{b}\) y es el número \(a\) tal que \(a^2 = b\). Es decir,
		
Por ejemplo,
		
Ahora bien, hay que tener en cuenta que, en realidad, un número tiene 2 raíces cuadradas.
Por ejemplo, las raíces cuadradas de 4 son 2 y -2:
		
Por esta razón, cuando calculamos la raíz cuadrada de un número, tenemos que escribir el signo \(\pm\):
		
No obstante, por comodidad, solemos omitir el signo \(\pm\), reservándolo para las ocasiones en que es absolutamente necesario.
Una importante propiedad de las raíces es la siguiente:
Es decir,
		
Por ejemplo,
		
Otra propiedad importante es que el cuadrado de la raíz cuadrada de un número es dicho número:
		
Por ejemplo,
		
En teoría, no existe la raíz cuadrada de un número negativo porque ningún número al cuadrado es negativo. Sin embargo, esto supone un inconveniente para resolver algunos problemas o ecuaciones matemáticas, por lo que se inventaron los números imaginarios.
La unidad imaginaria es \(i\) y se define como la raíz cuadrada de -1:
		
El cuadrado de la unidad imaginaria es -1:
		
Con la invención del número imaginario ya podemos trabajar con raíces cuadradas de números negativos (nos ayudaremos de la propiedad del producto de raíces).
Veamos algunos ejemplos:
		
		
Observad que, entonces, sí hay números cuyo cuadrado es negativo: los números imaginarios.
Por ejemplo,
		
Los números imaginarios, como números que son, se pueden sumar y restar:
		
Y, también, se pueden multiplicar y dividir:
		
Nota: hemos escrito \(i\) como una raíz y aplicado la propiedad del cuadrado de una raíz cuadrada.
Con los números imaginarios ya podemos resolver algunas ecuaciones de segundo grado cuyas soluciones son las raíces de números negativos.
Ejemplo 1: las soluciones de la ecuación \(x^2+1=0\) son \(x=i\) y \(x=-i\):
		
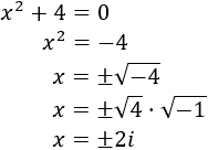
Ejemplo 2: las soluciones de la ecuación \(x^2+4=0\) son \(x=2i\) y \(x=-2i\):
		
Para no complicar demasiado estos conceptos, sólo diremos que existen unos números, los números complejos (\(\mathbb{C}\)), que están formados por una suma (o resta) de un número real y un número imaginario.
Ejemplos de números complejos:
		
Los números complejos se utilizan, por ejemplo, en la resolución de algunas ecuaciones de segundo grado.
Ejemplo: Las soluciones de la ecuación \(x^2 -2x + 2 = 0\) son los números complejos \(x = 1-i\) y \(x = 1+i\).
Los números complejos son un anillo dotado de suma y producto, \((\mathbb{C},+,·)\), y los números reales, \(\mathbb{R}\), son un subanillo de éstos.
Calcular el cuadrado de 1, -2, 3, y -4.
Calcular las raíces cuadradas de 4, 9, 16 y 25.
Resolver las siguientes ecuaciones:
		
Calcular las raíces cuadradas de -9 y -16.
Calcular las raíces cuadradas de -6 y -8.
Resolver las siguientes ecuaciones cuadráticas:
		
¿Existe la raíz cuadrada de un número negativo? - © matesfacil.com
   
  
Matesfacil.com  
  by J. Llopis  is licensed under a 
   Creative 
  Commons Attribution-NonCommercial 4.0 International License.